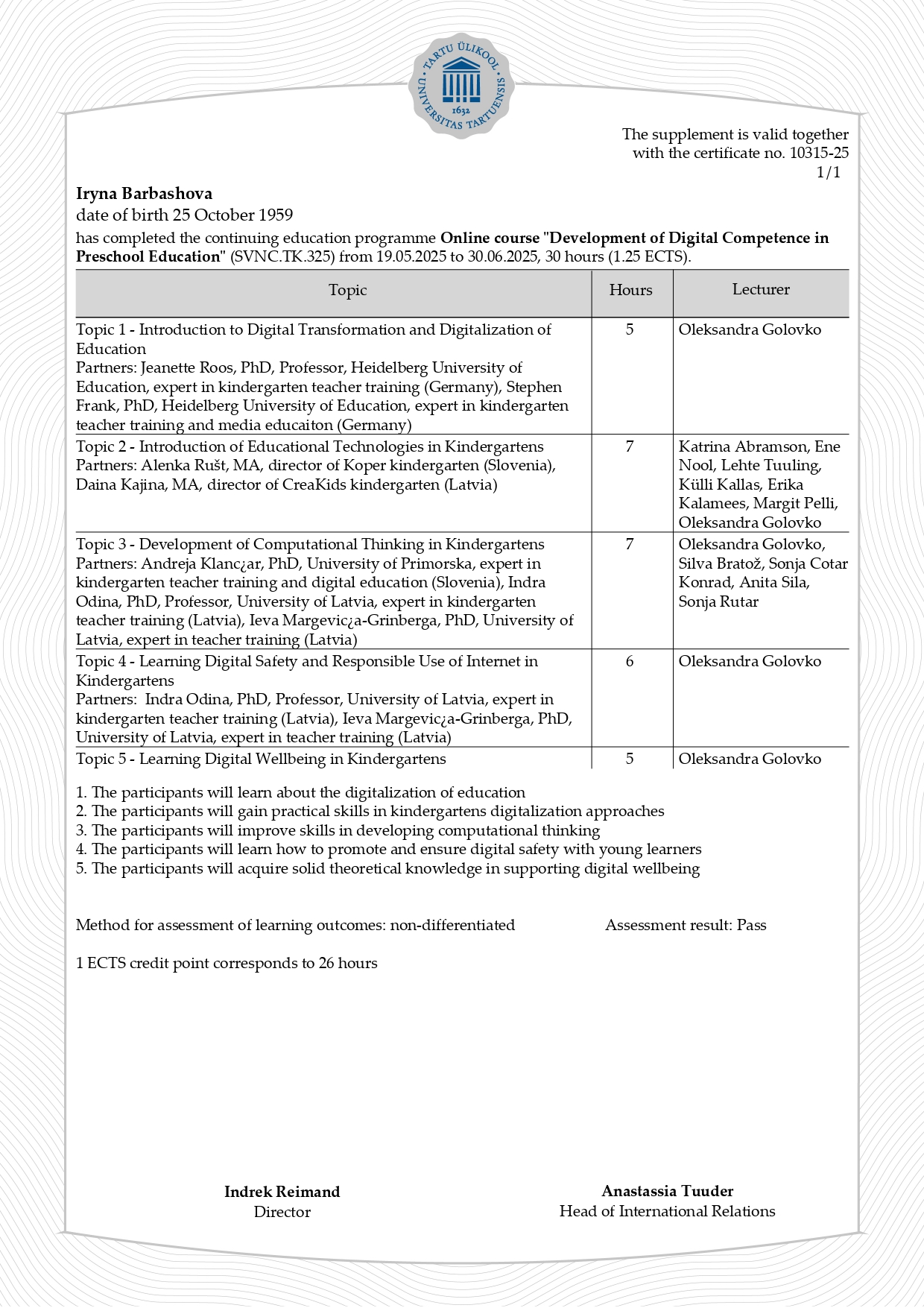
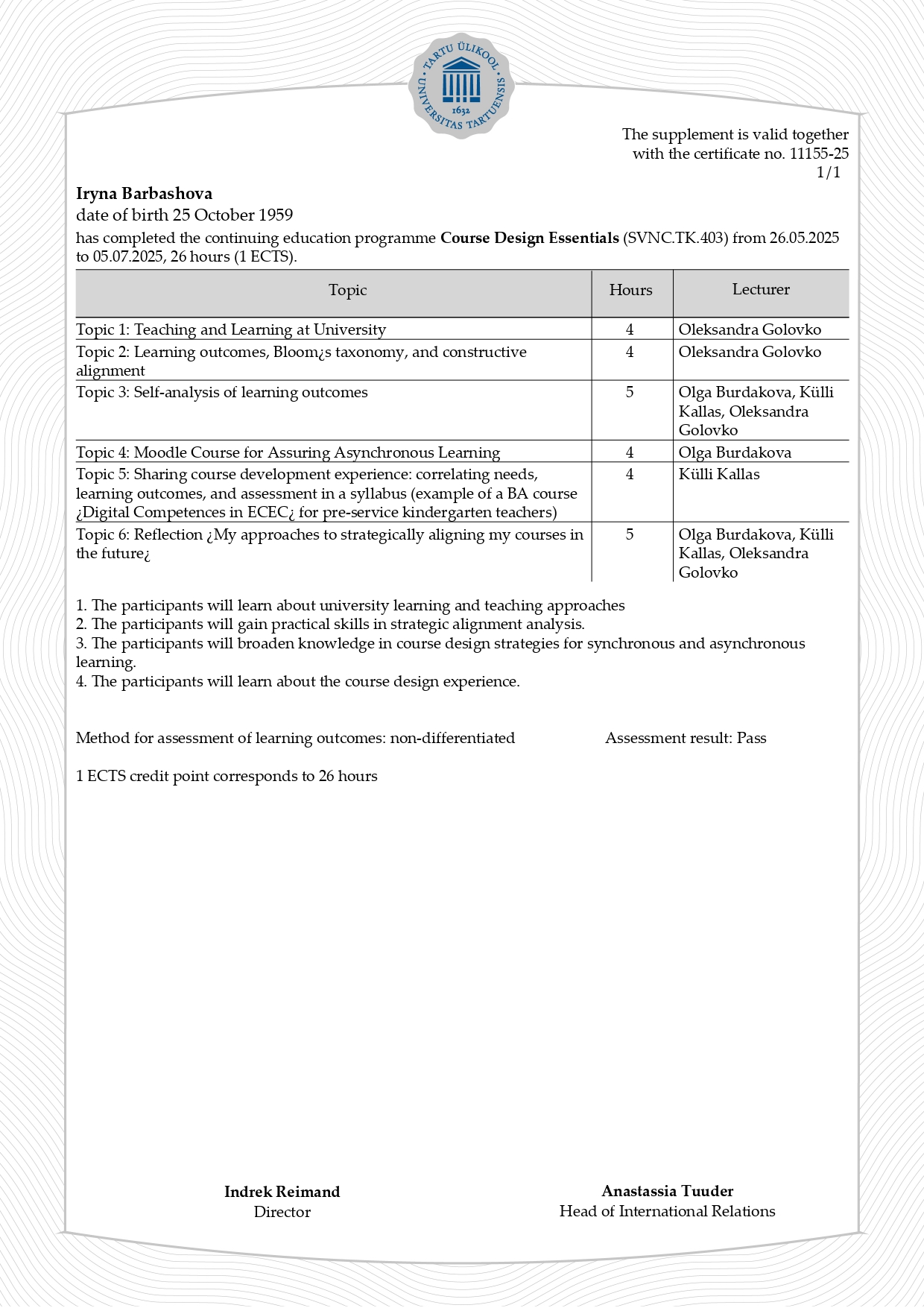
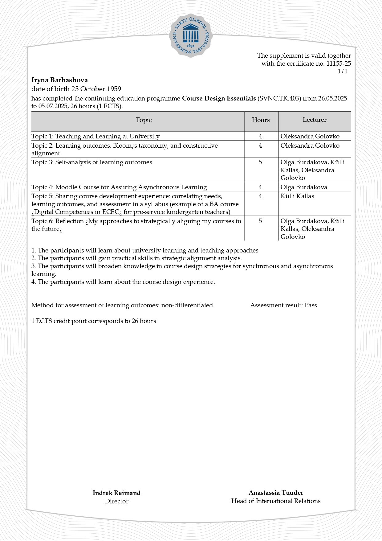
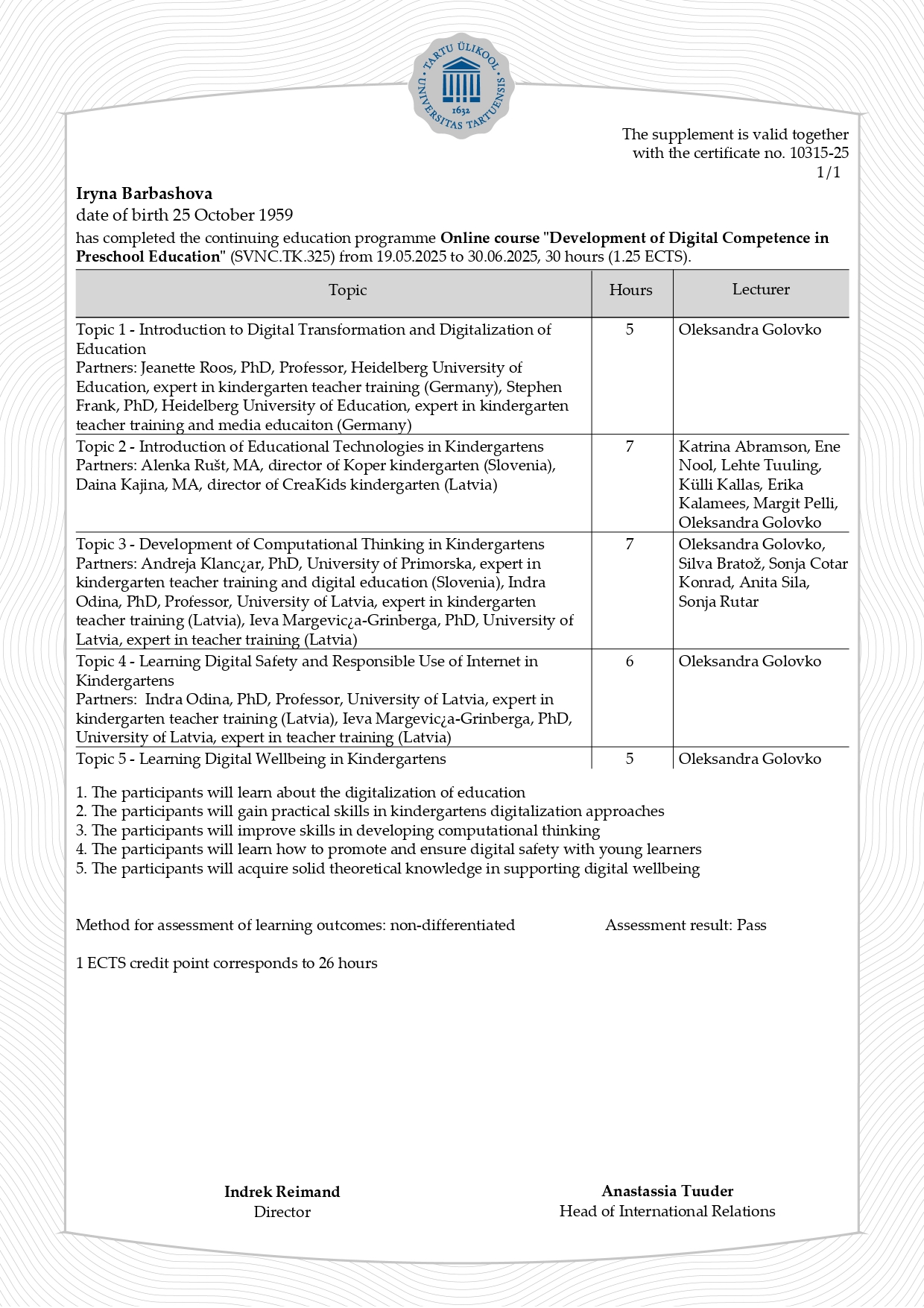
Барбашова Ірина Анатоліївна

Підвищення кваліфікації «DIGITAL Transformation: The Power of Blended Learning» на базі Hochschule ANHALT University of Applied Sciences з 14.10.2024 р по 12.12.2024 р., 6 кр. (180 год.). Сертифікат DN 202405004.

Підвищення кваліфікації «Програми та можливості ERASMUS+» на базі Бердянського державного педагогічного університету з 09.12.2022 р. по 14.02.2023 р., 1 кр. (30 год.). Сертифікат AD18/2023.

Підвищення кваліфікації «Internationalization of Higher Education. Organization of the educational process and innovative teaching methods in higher education institutions in Poland» на базі Collegium Civitas з 23.06.2020 р. по 15.07.2020 р., 4 кр., (120 год.). Сертифікат NR 17/2020.

Підвищення кваліфікації «Мodern Teaching Methods and Innovative Technologies in Higher Education: European Experience and Global Trend» на базі University of Finance, Business and Entrepreneurship з 01.09.2020 р. по 30.11.2020 р., 6 кр. (180 год.). Сертифікат BG/VUZF/689-2020.