Шевченко Юлія Михайлівна
Підвищення кваліфікації у ІІ Міжнародній осінній школі «СОЦІАЛЬНІ ВИМІРИ ЄВРОПЕЙСЬКИХ СТУДІЙ» Генуя (Італія) – Київ (Україна), 30 жовтня – листопада 2023 року. Сертифікат №2023_AS-000275 від 14.11.2023 р. (180 год.)
Науково-практичний тренінг «Особливості написання та реалізації індивідуальної програми розвитку дітей із ООП» 07.09.2024 (сертифікат № ТІПР-2024.09/348, 8 год / 0,24 кредита ECTS);
VI Всеукраїнська конференція «Сучасні підходи в освіті та реабілітації дітей з особливими освітніми потребами» 6 жовтня 2024 року, м.Дніпро (сертифікат №1091/2024, 30 год. / 1 кредит ECTS);
Всеукраїнська науково-практична інтернет-конференція з міжнародною участю «МОВА, МОВЛЕННЯ, ТЕРАПІЯ: МІЖДИСЦИПЛІНАРНИЙ ПІДХІД» 26 жовтня 2024 року, м. Львів (сертифікат №58, 15 год. /0,5 кредита ECTS);
VIІ Всеукраїнська науково-практична інтернет-конференція «Інноваційні підходи в освіті та реабілітації дітей з особливими освітніми проблемами» 06-07 листопада 2024 року, м. Київ (сертифікат VІІ УАКП №009, 15 год., 0,5 кредити ECTS);
Інформаційна сесія «Сексуальна просвіта репродуктивне здоров’я. Як говорити дітьми про дорослішання. Особисті кордони» 8 листопада 2024 року, м. Дніпро (сертифікат 3 год, 0,3 5 кредити ECTS);
Всеукраїнська науково-практична інтернет-конференція «Педагогічна освіта: методологія, теорія, технології» 17-18 жовтня 2024 року, м. Умань (12 годин / 0,4 кредита ЄКТС);
Всеукраїнська науково-практична конференція «Українська логопедія в епоху змін» 06 березня 2025 року (сертифікат № 252/25, 8 год/0,3 кредити ЄКТС);
Вебінар за темою: «Особливості логопедичної корекції мовленнєвого розвитку дітей із загальним недорозвитком мовлення» 25.01.2025 м. Дніпро (сертифікат № 102/2025, 4 год/0,13 кредити ЄКТС);
Вебінар за темою: «Стимуляція мозочка: сучасний підхід у корекційній роботі» (сертифікат № 220/2025, 4 год/0,13 кредити ЄКТС);
Курс за темою: «Дизартрія: діагностика, корекція та розвиток мовлення» (сертифікат № 239/2025, 6 год/0,2 кредити ЄКТС);
VІІ Регіональна науково-практична конференція «Оновлення моделі інтегральних компетентностей в контексті досягнення цілей сталого розвитку» (сертифікат № 0077/в-2025, 8 год/0,3 кредити ЄКТС);
Міжнародна науково-практична конференції «Віктор Миколайович Синьов – грані особистості: вчитель, митець, вчений» (сертифікат I ВМС №299, 8 год/0,3 кредити ЄКТС);
ІІ Всеукраїнська студентська конференція «Сучасна педагогіка: інновації, виклики та перспективи» (сертифікат №833/2025, 30 год/1 кредит ЄКТС);
Всеукраїнська науково-практична конференція (із міжнародною участю) «Формування життєвої компетентності осіб з особливими освітніми потребами в системі позашкільної, спеціальної та інклюзивної освіти» (сертифікат 00787/2024, 16 год/0,5 кредити ЄКТС);
Всеукраїнський науково-практичний семінар «Упровадження європейських цінностей у систему спеціальної освіти та інклюзивного навчання в Україні» (сертифікат №2505-98, 3 год/0,1 кредит ЄКТС);
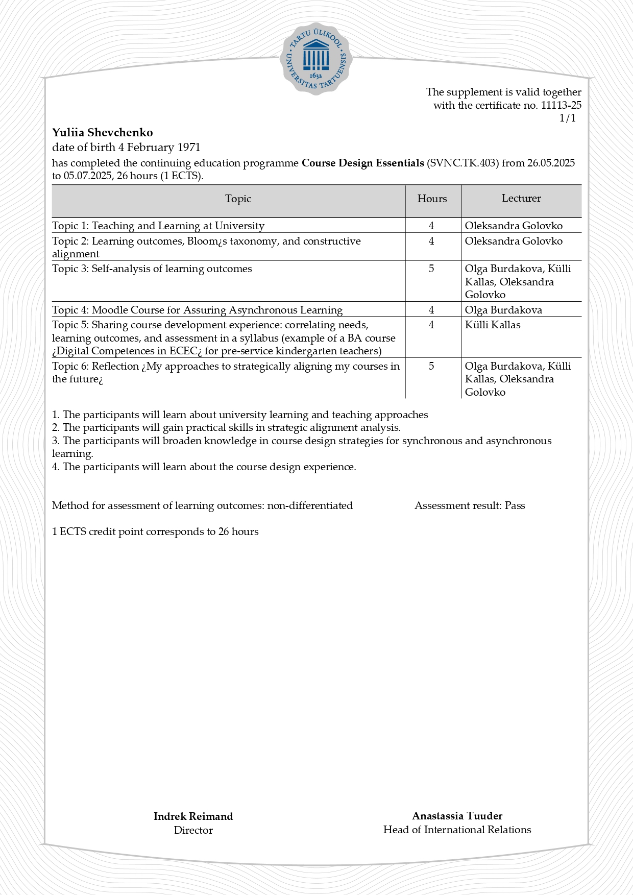
The continuing education programme Course Design Essentials (SVNC.TK.403) from 26.05.2025 to 05.07.2025 (26 hours / 1,0 ECTS);
The continuing education programme Online course “Development of Digital Competence in Preschool Education” SVNC.TK.325 (30 hours / 1,25 ECTS)
Практичний онлайн-курс «Логопедичний висновок» (сертифікат ЛВ №3-000095 4год/0,13 кредит ЄКТС);
Практичний онлайн-курс «PRO Алалію» (сертифікат НА № 000048 8/0,27 кредит ЄКТС);
Практичний онлайн-курс «Мозочкова стимуляція» (сертифікат МС №000037 4год/0,13 кредит ЄКТС);
Фестиваль ДЖЕРЕЛА ТВОРЧОСТІ «Від творчих фахівців для логопедів, дефектологів, учителів, вихователів та асистентів» (сертифікат 3426/2025 30 год/0,1 кредит ЄКТС);
Практичний онлайн-курс «Логопедичний висновок» (сертифікат ЛВ №3-000095 4год/0,13 кредит ЄКТС).























































































